河北省体育局事业单位2025年公开招聘工作人员(优秀运动员)公告
根据工作需要,2025年省体育局拟招聘122名工作人员(优秀运动员)。
一、招聘原则
坚持德才兼备的用人标准,贯彻“公开、平等、竞争、择优”的原则,实行公开招聘,在测试考核的基础上择优聘用。
二、招聘对象
根据优秀运动员选材特点,一般应从我省试训观察3个月以上的试训运动员中择优招聘。属引进外省(区、市)高水平运动员的,可不受试训要求限制。
三、招聘条件
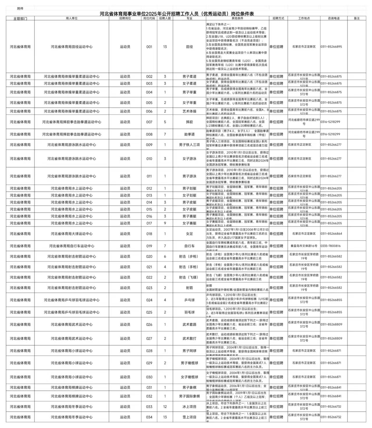
见《河北省体育局2025年公开招聘工作人员(优秀运动员)岗位条件表》。
四、招聘方法和程序
(一)报名与资格审查。报名时间:2025年6月23日-7月3日(节假日及非工作期间不接受报名及提供报名咨询)。报名地址详见《河北省体育局2025年公开招聘工作人员(优秀运动员)岗位条件表》。报名者持以下资料到招聘单位报名,用人部门进行资格审查。
1.有效《居民身份证》或本人户口页复印件;
2.近期一寸免冠白底照片4张;
3.运动成绩证明;
4.其他符合岗位条件要求的证明材料。
(二)测试评定。报名人员按照各运动项目选材标准,由招聘优秀运动员专家小组对报名人员的身体素质、专项能力、竞技能力、发展潜力进行综合评定,测试科目、时间和方法由各运动中心组织确定。
应聘人员须进行文化测试,具体测试内容、时间和地点由青训中心组织确定。
(三)体检。各运动中心根据测试情况,择优确定体检人员,组织应聘人员到县以上综合医院体检。
(四)聘用。各运动中心根据测试、体检结果,择优确定拟聘用人员,并在本单位公示7个工作日,公示没有问题的,按有关规定办理聘用等相关手续。
具体招聘事宜请咨询各相关运动中心。
河北省体育局
2025年6月23日
附件:
河北省体育局2025年公开招聘工作人员(优秀运动员)岗位条件表.xlsx